エアロって結局どれだけ大事なの?僕らが感じる「空気抵抗」って時速何キロから?力学に基づく走りへの影響について。

こんにちは、ヒロヤスです。
大阪の街を今日も自転車で駆け抜けているアラフォー、デザイナーの僕です。
僕のブログをいつも読んでくださっている皆さん、本当にありがとうございます。さて、今回は、僕たち自転車乗りが常に感じている、ある大きな壁についてお伝えしたいと思います。それは、風、つまり「空気抵抗」についてです。
僕も毎日のように街を走っていて、向かい風の強さに心折れそうになることがしょっちゅうあります。追い風だと「神風が吹いてる!」なんて気持ち良さもひとしおなんですが、向かい風は本当に手強い。風の力をモロに受けている感覚、みなさんも経験ありますよね。
空気抵抗は、速度の2乗に比例するってホント?
「空気抵抗は速度の2乗に比例する」という話は、自転車界隈ではよく聞きますよね。
これはどういうことかというと、速度が2倍になると空気抵抗は4倍に、速度が3倍になると空気抵抗は9倍になるということなんです。つまり、スピードを上げれば上げるほど、空気抵抗という名の”見えない壁”がとんでもなく分厚くなるわけです。
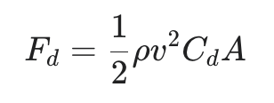
この原理は、物理学的には以下の計算式で表すことができます。

なんだか難しそうな記号が並んでいますが、自転車乗りが特に注目すべきは**v2の部分です。このvが速度、そしてその右上の2**が示す通り、空気抵抗 (Fd) は速度の2乗に比例する、ということをこの式が証明しています。
他の要素も簡単に説明すると、ρは空気の密度、Cdは空気抵抗係数(物体の形状で変わる値)、そしてAは前面投影面積(前から見たときの体の面積)です。これらも空気抵抗を左右する大事な要素なんです。
時速何キロから空気抵抗は無視できない存在になるのか?
では、僕たち一般のサイクリストが街乗りやサイクリングを楽しむ上で、具体的にどのくらいの速度から空気抵抗を意識すべきなのでしょうか?
色々な文献や研究を見てみると、自転車の走行抵抗は大きく分けて「転がり抵抗」と「空気抵抗」の二つに分けられます。転がり抵抗は、タイヤと路面との摩擦や内部の変形によって発生する抵抗で、速度が上がってもそれほど大きくは変わりません。
一方、僕たちが今話している空気抵抗は、速度の2乗に比例して大きくなります。そして、多くのデータが示すところでは、時速20km〜25kmあたりから、この空気抵抗が転がり抵抗を上回り、無視できない主要な抵抗要因になり始めるようです。
この速度は、クロスバイクや街乗り用MTBでも十分に出せる速度域ですよね。つまり、ゆったりとポタリングを楽しむときにはそこまで意識しなくてもいいかもしれませんが、少し頑張ってペースを上げようとすると、途端に空気抵抗が立ちはだかってくるわけです。
クロモリバイクに乗っている僕たちにとっても、この「空気の壁」は無関係ではありません。いかに空気抵抗を減らして気持ちよく走るか、これは車種を問わず永遠の課題かもしれませんね。
私服とレースウェア、空気抵抗の差はどれくらい?
僕も普段はゆったりしたTシャツやジーンズで自転車に乗ることが多いです。街を流す分には、このスタイルが一番心地いい。でも、一度スピードを出して走ってみると、そのウェアが大きな抵抗になっていることを肌で感じます。
特にTシャツやパーカーのように、生地が風をはらんでバワバワと膨らむウェアは、とんでもない空気抵抗を生み出します。まるで小さなパラシュートをつけて走っているような感覚ですね。これは、ウェアの表面が不規則で、空気がスムーズに流れないためです。
一方、ロードバイクの選手が着ているような、体にぴったりフィットした「レースウェア」は、空気抵抗を極限まで減らすように設計されています。生地には凹凸がつけられていたり、体のラインに沿って裁断されていたりして、空気がウェアの表面を滑らかに流れるように工夫されているんです。
では、実際にどれくらい違いがあるのか?具体的な例を一つ挙げてみましょう。
時速30kmで走るために、私服で漕ぐ場合とレースウェアで漕ぐ場合を比較します。ある理論上の計算によると、私服で時速30kmを出すために必要な力で漕ぎ続けた場合、レースウェアを着ていれば時速33km〜35kmに達することができます。これは、同じパワーでより速く走れる、ということを意味します。
僕たちが趣味で自転車に乗る上では、「私服か、レースウェアか」はTPOに応じて使い分ければいいと思っています。ただ、もし「今日は少しでも速く、楽に走りたいな」と思う日があれば、空気抵抗の少ないフィットしたウェアを選ぶだけで、驚くほど走りが変わることを覚えておくと良いでしょう。
空気抵抗を意識したプロダクト
最後に、僕が個人的にきになっている、空気抵抗を意識しつつも、クロモリバイクの雰囲気にもマッチしそうなプロダクトをいくつかご紹介したいと思います。
ハンドルバー
- Jones SG Loop H-Bar: ループ形状が特徴的なハンドルバー。多岐にわたる握り方ができるので、長距離でも疲れにくいのが魅力です。ドロップハンドルほど前傾姿勢にはなりませんが、手前に引きが強いので、ゆったりとしたポジションで空力的な姿勢を取りやすい。ツーリングバイクやグラベルロードのカスタムに人気ですね。
ヘルメット
- KASK MOJITO³: シンプルで洗練されたデザインながら、高い空力性能と安全性を両立しているヘルメット。ロードレースで多くの選手が使用していますが、派手すぎないデザインは街乗りにも馴染みやすいです。空気の流れを考慮した形状と軽量な作りが、快適なライドをサポートしてくれます。
ウェア
- Rapha Classic Flyweight Jersey: 普段着としても着られるようなシンプルでクラシックなデザインのサイクルジャージ。軽量で通気性に優れており、空気抵抗を考慮したタイトすぎないフィット感が特徴です。機能性とデザインを両立したブランドの哲学が感じられます。
まとめ
今回は、自転車に乗る上で避けて通れない「空気抵抗」について、僕なりの考察をお伝えしました。
時速20kmを超えたあたりから、目に見えないこの風の壁が、僕たちの走りに大きな影響を与え始める。そして、その抵抗を減らすには、前傾姿勢をとったり、体にフィットしたウェアを選んだり、あるいは空力的に優れたパーツを取り入れたり、様々な工夫ができることがわかりました。
クロモリの自転車は、最新のエアロロードバイクのような究極の空力性能は追求していませんが、だからこそ、乗り手自身のちょっとした工夫が、より快適なライドに繋がるんだ、という面白さがあると思っています。街乗りでも、向かい風に負けないちょっとした工夫をしてみるだけで、いつもの道が少し違って見えるかもしれません。僕も早速、姿勢を意識して走ってみようかな。
皆さんがどんな風に空気抵抗と向き合っているのか、ぜひコメントで教えてください!
それでは、また次の記事で会いましょう!ヒロヤスでした!
こんな記事も読まれています。





